Logo Logo

Análise de Sistemas de Energia Elétrica

Universidade Federal do Espírito Santo

Departamento de Engenharia Elétrica

Prof. Augusto César Rueda Medina / CT-XI, Sala 27 / augusto.rueda@ufes.br

Unidade 2

2.5. Modelo Impedância Nodal

2.6. Montagem Direta da Matriz Impedância Nodal

2.7. Modificações na Matriz Impedância Nodal

Comparações Entre as Matrizes Admitância e Impedância de Barra

Características da Matriz $\small {Y_{\rm{Barra}}}$:

  • Simétrica.

  • Complexa.

  • Quadrada de dimensão $\small n$, sendo $\small n$ é o número de barras do sistema sem contar a barra de referência.

  • Esparsa, mais de 95% dos elementos é nulo, o que é uma vantagem.

  • Os elementos da diagonal principal são positivos.

Comparações Entre as Matrizes Admitância e Impedância de Barra

Características da Matriz $\small {Y_{\rm{Barra}}}$:

  • Os elementos fora da diagonal principal são negativos.

  • Os elementos da diagonal principal $\small Y_{kk}$ são o somatório das admitâncias primitivas diretamente ligadas à barra $\small k$.

    $\small Y_{kk} = \sum\limits_{m \in \Omega_k} {y_{km}}$

    Em que $\small \Omega_k$ é o conjunto de todas as barras ligadas à barra $\small k$.

  • Os elementos fora da diagonal principal $\small Y_{km}$ são o negativo das admitâncias primitivas que ligam as barras $\small k$ e $\small m$.

    $\small Y_{km} = -y_{km}$

Comparações Entre as Matrizes Admitância e Impedância de Barra

Características da Matriz $\small {Z_{\rm{Barra}}}$:

  • Simétrica.

  • Complexa.

  • Quadrada de dimensão $\small n$, sendo $\small n$ o número de barras do sistema desconsiderando a barra de referência.

  • Matriz cheia.

Montagem e Modificação da Matriz Impedância de Barra

A matriz impedância de barra pode ser modificada para refletir mudanças na rede elétrica. Estas mudanças podem ser a adição de um elemento, retirada de um elemento ou modificação no valor da impedância de um elemento:

Até o momento, as maneiras de se calcular a matriz impedância de barra são:

  • Montagem direta.

  • Inversão da matriz admitância de barra.

  • Ensaio de circuito aberto.

Montagem e Modificação da Matriz Impedância de Barra - Montagem direta

Seja o sistema original da figura anterior, composto de $\small n$ barras, cuja matriz impedância de barra é conhecida como $\small Z_{\rm {ORIGINAL}}$.

$\small {Z_{\rm{ORIGINAL}}} = \left[ {\begin{array}{*{20}{c}} Z_{11} & Z_{12} & \cdots & Z_{1n} \\ Z_{21} & Z_{22} & \cdots & Z_{2n} \\ \vdots & \vdots & \ddots & \vdots \\ Z_{n1} & Z_{n2} & \cdots & Z_{nn} \end{array}} \right]$

Montagem e Modificação da Matriz Impedância de Barra - Montagem direta

$\small {Z_{\rm{ORIGINAL}}} = \left[ {\begin{array}{*{20}{c}} Z_{11} & Z_{12} & \cdots & Z_{1n} \\ Z_{21} & Z_{22} & \cdots & Z_{2n} \\ \vdots & \vdots & \ddots & \vdots \\ Z_{n1} & Z_{n2} & \cdots & Z_{nn} \end{array}} \right]$

A inclusão de um novo elemento com impedância própria $\small z_b$ atende a uma dos quatro casos a seguir.

Montagem e Modificação da Matriz Impedância de Barra - Montagem direta - Caso 1

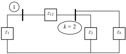
Caso 1: O elemento é ligado entre a barra nova $\small p$ e a referência.

Modificação da matriz impedância de barra pela inclusão de um elemento que possui impedância própria $\small z_b$ ligado entre uma barra nova $\small p$ e a referência.

Seja o sistema original composto de duas barras. Na figura a seguir, mostra-se este sistema acrescido de uma nova barra denominada $\small p$.

Montagem e Modificação da Matriz Impedância de Barra - Montagem direta - Caso 1

A matriz $\small Z_{\rm {ORIGINAL}}$ do sistema da figura acima é:

$\small {Z_{\rm{ORIGINAL}}} = \left[ {\begin{array}{*{20}{c}} Z_{11} & Z_{12} \\ Z_{21} & Z_{22} \end{array}} \right]$

Montagem e Modificação da Matriz Impedância de Barra - Montagem direta - Caso 1

$\small {Z_{\rm{ORIGINAL}}} = \left[ {\begin{array}{*{20}{c}} Z_{11} & Z_{12} \\ Z_{21} & Z_{22} \end{array}} \right]$

Realizando um ensaio no qual se injeta uma corrente unitária na barra 1, tem-se que a tensão na barra $\small p = 3$, devido a esta corrente, é nula; o mesmo aconteceria se fosse injetada uma corrente unitária na barra 2. Por outro lado, quando a corrente unitária é injetada na barra $\small p = 3$, aparece uma tensão na barra $\small p = 3$ com valor igual a $\small z_b.$


Montagem e Modificação da Matriz Impedância de Barra - Montagem direta - Caso 1

$\small {Z_{\rm{ORIGINAL}}} = \left[ {\begin{array}{*{20}{c}} Z_{11} & Z_{12} \\ Z_{21} & Z_{22} \end{array}} \right]$

Assim, a matriz $\small Z_{\rm {BARRA}}$ é igual a:

$\small {Z_{\rm{BARRA}}} = \left[ {\begin{array}{*{20}{c}} Z_{11} & Z_{12} & 0 \\ Z_{21} & Z_{22} & 0 \\ 0 & 0 & z_b \\ \end{array}} \right]$


Montagem e Modificação da Matriz Impedância de Barra - Montagem direta - Caso 1

$\small {Z_{\rm{BARRA}}} = \left[ {\begin{array}{*{20}{c}} Z_{11} & Z_{12} & 0 \\ Z_{21} & Z_{22} & 0 \\ 0 & 0 & z_b \\ \end{array}} \right]$

Regra 1: Inclui-se nova linha e nova coluna na matriz $\small {Z_{\rm{ORIGINAL}}}$, sendo nulos os elementos fora da diagonal principal. O elemento da diagonal principal é o valor da impedância $\small z_b$ do elemento. Os valores dos elementos da matriz $\small {Z_{\rm{ORIGINAL}}}$ não sofrem alteração.

Montagem e Modificação da Matriz Impedância de Barra - Montagem direta - Caso 2

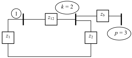
Caso 2: O elemento é ligado entre a barra nova $\small p$ e a barra existente $\small k.$

Modificação da matriz impedância de barra pela inclusão de um elemento que possui impedância própria $\small z_b$ ligado entre uma barra nova $\small p$ e uma barra existente $\small k$.

Seja o sistema original composto de duas barras. Na figura a seguir, mostra-se este sistema acrescido de uma nova barra denominada $\small p$.

Montagem e Modificação da Matriz Impedância de Barra - Montagem direta - Caso 2

A matriz $\small Z_{\rm {ORIGINAL}}$ do sistema da figura acima é:

$\small {Z_{\rm{ORIGINAL}}} = \left[ {\begin{array}{*{20}{c}} Z_{11} & Z_{12} \\ Z_{21} & Z_{22} \end{array}} \right]$

Montagem e Modificação da Matriz Impedância de Barra - Montagem direta - Caso 2

$\small {Z_{\rm{ORIGINAL}}} = \left[ {\begin{array}{*{20}{c}} Z_{11} & Z_{12} \\ Z_{21} & Z_{22} \end{array}} \right]$

Injetando-se uma corrente unitária na barra 1, a tensão na barra $\small p = 3$ é a mesma que a tensão da barra $\small k = 2$. Injetando-se uma corrente unitária na barra $\small k = 2$, a tensão na barra $\small p = 3$ também é a mesma que a tensão da barra $\small k = 2$. Injetando-se uma corrente unitária na barra $\small p = 3$, a tensão será a impedância vista da barra $\small k = 2$ adicionada de $\small z_b$.


Montagem e Modificação da Matriz Impedância de Barra - Montagem direta - Caso 2

$\small {Z_{\rm{ORIGINAL}}} = \left[ {\begin{array}{*{20}{c}} Z_{11} & Z_{12} \\ Z_{21} & Z_{22} \end{array}} \right]$

Assim, a matriz $\small Z_{\rm {BARRA}}$ é igual a:

$\small {Z_{\rm{BARRA}}} = \left[ {\begin{array}{*{20}{c}} Z_{11} & Z_{12} & Z_{12} \\ Z_{21} & Z_{22} & Z_{22} \\ Z_{21} & Z_{22} & Z_{22} + z_b \end{array}} \right]$


Montagem e Modificação da Matriz Impedância de Barra - Montagem direta - Caso 2

$\small {Z_{\rm{BARRA}}} = \left[ {\begin{array}{*{20}{c}} Z_{11} & Z_{12} & Z_{12} \\ Z_{21} & Z_{22} & Z_{22} \\ Z_{21} & Z_{22} & Z_{22} + z_b \end{array}} \right]$

Regra 2: Inclui-se nova linha e nova coluna na matriz $\small {Z_{\rm{ORIGINAL}}}$, onde os elementos fora da diagonal principal são iguais aos elementos da linha e da coluna $\small k$ (barra onde o novo elemento é conectado) e o novo elemento da diagonal principal é $\small Z_{kk} + z_b$. Os valores dos elementos da matriz $\small {Z_{\rm{ORIGINAL}}}$ não sofrem alteração.

Montagem e Modificação da Matriz Impedância de Barra - Montagem direta - Caso 3

Caso 3: O elemento é ligado entre a barra existente $\small k$ e a referência.

Modificação da matriz impedância de barra pela inclusão de um elemento que possui impedância própria $\small z_b$ ligado entre uma barra existente $\small k$ e a referência.

Seja o sistema original composto de duas barras. Na figura a seguir, mostra-se este sistema acrescido de uma nova impedância $\small z_b$.

Montagem e Modificação da Matriz Impedância de Barra - Montagem direta - Caso 3

A matriz $\small Z_{\rm {ORIGINAL}}$ do sistema da figura acima é:

$\small {Z_{\rm{ORIGINAL}}} = \left[ {\begin{array}{*{20}{c}} Z_{11} & Z_{12} \\ Z_{21} & Z_{22} \end{array}} \right]$

Montagem e Modificação da Matriz Impedância de Barra - Montagem direta - Caso 3

Este caso é abordado em duas etapas, mostradas na figura a seguir:

  • Etapa 1: O elemento novo é incluído entre uma barra $\small k$ existente e uma nova barra fictícia $\small n + 1$ (Caso 2).

  • Etapa 2: Curto circuita-se a barra fictícia para a referência pela redução de Kron.

Montagem e Modificação da Matriz Impedância de Barra - Montagem direta - Caso 3

Etapa 1: O elemento novo é incluído entre a barra $\small k = 2$ existente e uma nova barra fictícia $\small n + 1 = 3$.

$\small \left[ {\begin{array}{*{20}{c}} V_{1} \\ V_{2} \\ V_{3} \end{array}} \right] = \left[ {\begin{array}{*{20}{c}} Z_{11} & Z_{12} & Z_{12} \\ Z_{21} & Z_{22} & Z_{22} \\ Z_{21} & Z_{22} & Z_{22} + z_b \end{array}} \right] \left[ {\begin{array}{*{20}{c}} I_{1} \\ I_{2} \\ I_{3} \end{array}} \right]$

Montagem e Modificação da Matriz Impedância de Barra - Montagem direta - Caso 3

Etapa 2: curto circuita-se a barra fictícia $\small n + 1 = 3$ para a referência e se procede à eliminação de Kron para eliminar a barra $\small n + 1 = 3$. A eliminação de Kron foi deduzida para a matriz admitância de barra e $\small I_B = 0$. O mesmo se aplica à matriz impedância de barra e $\small V_B = 0$.

Montagem e Modificação da Matriz Impedância de Barra - Montagem direta - Caso 3

No momento de curto circuitar a barra fictícia $\small n + 1 = 3$ para a referência $\small n + 1 = 3$, tem-se que $\small V_{n + 1 = 3} = 0$. Assim, a nova representação matricial é:

$\small \left[ {\begin{array}{*{20}{c}} V_{1} \\ V_{2} \\ 0 \end{array}} \right] = \left[ {\begin{array}{*{20}{c}} Z_{11} & Z_{12} & Z_{12} \\ Z_{21} & Z_{22} & Z_{22} \\ Z_{21} & Z_{22} & Z_{22} + z_b \end{array}} \right] \left[ {\begin{array}{*{20}{c}} I_{1} \\ I_{2} \\ I_{3} \end{array}} \right]$

Aplicando eliminação de Kron para a barra fictícia $\small n + 1 = 3$, tem-se que:

$\small \left[ {\begin{array}{*{20}{c}} V_{1} \\ V_{2} \end{array}} \right] = \left[ {\begin{array}{*{20}{c}} Z_{11} - \frac{ Z_{12} Z_{21} }{Z_{22} + z_b } & Z_{12} - \frac{ Z_{12} Z_{22} }{Z_{22} + z_b } \\ Z_{21} - \frac{ Z_{22} Z_{21} }{Z_{22} + z_b } & Z_{22} - \frac{ Z_{22} Z_{22} }{Z_{22} + z_b } \end{array}} \right] \left[ {\begin{array}{*{20}{c}} I_{1} \\ I_{2} \end{array}} \right]$

Montagem e Modificação da Matriz Impedância de Barra - Montagem direta - Caso 3

$\small \left[ {\begin{array}{*{20}{c}} V_{1} \\ V_{2} \end{array}} \right] = \left[ {\begin{array}{*{20}{c}} Z_{11} - \frac{ Z_{12} Z_{21} }{Z_{22} + z_b } & Z_{12} - \frac{ Z_{12} Z_{22} }{Z_{22} + z_b } \\ Z_{21} - \frac{ Z_{22} Z_{21} }{Z_{22} + z_b } & Z_{22} - \frac{ Z_{22} Z_{22} }{Z_{22} + z_b } \end{array}} \right] \left[ {\begin{array}{*{20}{c}} I_{1} \\ I_{2} \end{array}} \right]$

Regra 3: O Caso 3 é o Caso 2 com eliminação de Kron. Inclui-se temporariamente uma nova linha e uma nova coluna na matriz $\small {Z_{\rm{ORIGINAL}}}$, onde os elementos fora da diagonal principal são iguais aos elementos da linha e da coluna $\small k$, e o elemento da diagonal principal é $\small Z_{kk} + z_b$ referente à barra fictícia $\small n + 1$. Depois, elimina-se a barra fictícia $\small n + 1$ aplicando a redução de Kron.

Montagem e Modificação da Matriz Impedância de Barra - Montagem direta - Caso 4

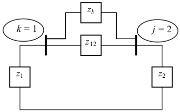
Caso 4: O elemento é ligado entre a barras existentes $\small k$ e $\small j$.

Modificação da matriz impedância de barra pela inclusão de um elemento que possui impedância própria $\small z_b$ ligado entre a barras existentes $\small k$ e $\small j$.

Seja o sistema original composto de duas barras. Na figura a seguir, mostra-se este sistema acrescido de uma nova impedância $\small z_b$.

Montagem e Modificação da Matriz Impedância de Barra - Montagem direta - Caso 4

A matriz $\small Z_{\rm {ORIGINAL}}$ do sistema da figura acima é:

$\small {Z_{\rm{ORIGINAL}}} = \left[ {\begin{array}{*{20}{c}} Z_{11} & Z_{12} \\ Z_{21} & Z_{22} \end{array}} \right]$

Montagem e Modificação da Matriz Impedância de Barra - Montagem direta - Caso 4

Este caso é abordado em duas etapas, mostradas na figura a seguir:

  • Etapa 1: Inclusão do elemento entre barra existente $\small k$ existente e uma nova barra fictícia $\small n + 1$.

  • Etapa 2: Curto circuitam-se a barra fictícia e a barra $\small j$.

Montagem e Modificação da Matriz Impedância de Barra - Montagem direta - Caso 4

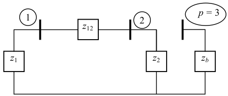
Etapa 1: Inclusão do elemento entre barra existente $\small k = 1$ existente e uma nova barra fictícia $\small n + 1 = 3$.

$\small \left[ {\begin{array}{*{20}{c}} V_{1} \\ V_{2} \\ V_{3} \end{array}} \right] = \left[ {\begin{array}{*{20}{c}} Z_{11} & Z_{12} & Z_{11} \\ Z_{21} & Z_{22} & Z_{21} \\ Z_{11} & Z_{12} & Z_{11} + z_b \end{array}} \right] \left[ {\begin{array}{*{20}{c}} I_{1} \\ I_{2} \\ I_{3} \end{array}} \right]$

Montagem e Modificação da Matriz Impedância de Barra - Montagem direta - Caso 4

$\small \left[ {\begin{array}{*{20}{c}} V_{1} \\ V_{2} \\ V_{3} \end{array}} \right] = \left[ {\begin{array}{*{20}{c}} Z_{11} & Z_{12} & Z_{11} \\ Z_{21} & Z_{22} & Z_{21} \\ Z_{11} & Z_{12} & Z_{11} + z_b \end{array}} \right] \left[ {\begin{array}{*{20}{c}} I_{1} \\ I_{2} \\ I_{3} \end{array}} \right]$

Etapa 2: Curto circuitam-se a barra fictícia $\small n + 1 = 3$ e a barra $\small j = 2$. Assim, as tensões $\small V_{j = 2}$ e $\small V_{n + 1 = 3}$ ficam iguais, e a corrente $\small I_{j = 2}$ muda, pois agora está sendo substraida pela corrente $\small I_{n + 1 = 3}$. Portanto, de

$\small V_3 = V_2$

Tem-se que:

$\small V_3 - V_2 = 0 = \left({ Z_{11} - Z_{21} }\right) I_1 + \left({ Z_{12} - Z_{22} }\right) I_2 + \left({ Z_{11} - Z_{21} + z_b }\right) I_3$

Montagem e Modificação da Matriz Impedância de Barra - Montagem direta - Caso 4

$\small \left[ {\begin{array}{*{20}{c}} V_{1} \\ V_{2} \\ V_{3} \end{array}} \right] = \left[ {\begin{array}{*{20}{c}} Z_{11} & Z_{12} & Z_{11} \\ Z_{21} & Z_{22} & Z_{21} \\ Z_{11} & Z_{12} & Z_{11} + z_b \end{array}} \right] \left[ {\begin{array}{*{20}{c}} I_{1} \\ I_{2} \\ I_{3} \end{array}} \right]$

$\small V_3 - V_2 = 0 = \left({ Z_{11} - Z_{21} }\right) I_1 + \left({ Z_{12} - Z_{22} }\right) I_2 + \left({ Z_{11} - Z_{21} + z_b }\right) I_3$

Substituindo a expressão anterior na linha correspondente a $\small V_{n + 1 = 3}$ da representação matricial após a Etapa 1, tem-se que:

$\small \left[ {\begin{array}{*{20}{c}} V_{1} \\ V_{2} \\ 0 \end{array}} \right] = \left[ {\begin{array}{*{20}{c}} Z_{11} & Z_{12} & Z_{11} \\ Z_{21} & Z_{22} & Z_{21} \\ Z_{11} - Z_{21} & Z_{12} - Z_{22} & Z_{11} - Z_{21} + z_b \end{array}} \right] \left[ {\begin{array}{*{20}{c}} I_{1} \\ I_{2} \\ I_{3} \end{array}} \right]$

Montagem e Modificação da Matriz Impedância de Barra - Montagem direta - Caso 4

$\small \left[ {\begin{array}{*{20}{c}} V_{1} \\ V_{2} \\ 0 \end{array}} \right] = \left[ {\begin{array}{*{20}{c}} Z_{11} & Z_{12} & Z_{11} \\ Z_{21} & Z_{22} & Z_{21} \\ Z_{11} - Z_{21} & Z_{12} - Z_{22} & Z_{11} - Z_{21} + z_b \end{array}} \right] \left[ {\begin{array}{*{20}{c}} I_{1} \\ I_{2} \\ I_{3} \end{array}} \right]$

Na representação matricial acima, ainda não está representado que, como mencionado anteriormente, a corrente $\small I_{j = 2}$ muda, pois agora está sendo substraida pela corrente $\small I_{n + 1 = 3}$. Assim, decompondo a respresentação matricial acima e subtraindo a corrente $\small I_{n + 1 = 3}$ da corrente $\small I_{j = 2}$, tem-se que:

$\small V_1 = Z_{11} I_1 + Z_{12} \left({ I_2 - I_3 }\right) + Z_{11} I_3$

$\small V_2 = Z_{21} I_1 + Z_{22} \left({ I_2 - I_3 }\right) + Z_{21} I_3$

$\small V_3 = \left({ Z_{11} - Z_{21} }\right) I_1 + \left({ Z_{12} - Z_{22} }\right) \left({ I_2 - I_3 }\right) + \left({ Z_{11} - Z_{21} + z_b }\right) I_3$

Montagem e Modificação da Matriz Impedância de Barra - Montagem direta - Caso 4

$\small V_1 = Z_{11} I_1 + Z_{12} \left({ I_2 - I_3 }\right) + Z_{11} I_3$

$\small V_2 = Z_{21} I_1 + Z_{22} \left({ I_2 - I_3 }\right) + Z_{21} I_3$

$\small V_3 = \left({ Z_{11} - Z_{21} }\right) I_1 + \left({ Z_{12} - Z_{22} }\right) \left({ I_2 - I_3 }\right) + \left({ Z_{11} - Z_{21} + z_b }\right) I_3$

Reorganizando as expressões acima e voltando a representar as tensões matricialmente, tem-se que:

$\small \left[ {\begin{array}{*{20}{c}} V_{1} \\ V_{2} \\ 0 \end{array}} \right] = \left[ {\begin{array}{*{20}{c}} Z_{11} & Z_{12} & Z_{11} - Z_{21} \\ Z_{21} & Z_{22} & Z_{21} - Z_{22} \\ Z_{11} - Z_{21} & Z_{12} - Z_{22} & Z_{11} + Z_{22} - Z_{12} - Z_{21} + z_b \end{array}} \right] \left[ {\begin{array}{*{20}{c}} I_{1} \\ I_{2} \\ I_{3} \end{array}} \right]$

Montagem e Modificação da Matriz Impedância de Barra - Montagem direta - Caso 4

$\small \left[ {\begin{array}{*{20}{c}} V_{1} \\ V_{2} \\ 0 \end{array}} \right] = \left[ {\begin{array}{*{20}{c}} Z_{11} & Z_{12} & Z_{11} - Z_{21} \\ Z_{21} & Z_{22} & Z_{21} - Z_{22} \\ Z_{11} - Z_{21} & Z_{12} - Z_{22} & Z_{11} + Z_{22} - Z_{12} - Z_{21} + z_b \end{array}} \right] \left[ {\begin{array}{*{20}{c}} I_{1} \\ I_{2} \\ I_{3} \end{array}} \right]$

Por conveniência, da matriz de impedância de barra acima, define-se $\small Z _{bb}= Z_{11} + Z_{22} - Z_{12} - Z_{21} + z_b$, obtendo-se a seguinte representação:

$\small \left[ {\begin{array}{*{20}{c}} V_{1} \\ V_{2} \\ 0 \end{array}} \right] = \left[ {\begin{array}{*{20}{c}} Z_{11} & Z_{12} & Z_{11} - Z_{21} \\ Z_{21} & Z_{22} & Z_{21} - Z_{22} \\ Z_{11} - Z_{21} & Z_{12} - Z_{22} & Z_{bb} \end{array}} \right] \left[ {\begin{array}{*{20}{c}} I_{1} \\ I_{2} \\ I_{3} \end{array}} \right]$

Montagem e Modificação da Matriz Impedância de Barra - Montagem direta - Caso 4

$\small \left[ {\begin{array}{*{20}{c}} V_{1} \\ V_{2} \\ 0 \end{array}} \right] = \left[ {\begin{array}{*{20}{c}} Z_{11} & Z_{12} & Z_{11} - Z_{21} \\ Z_{21} & Z_{22} & Z_{21} - Z_{22} \\ Z_{11} - Z_{21} & Z_{12} - Z_{22} & Z_{bb} \end{array}} \right] \left[ {\begin{array}{*{20}{c}} I_{1} \\ I_{2} \\ I_{3} \end{array}} \right]$

A barra $\small (n + 1) = 3$ é fictícia e sem fonte de tensão; logo, pode-se aplicar a redução de Kron nesta barra para finalizar a Etapa 2 deste caso, como apresentado a seguir:

$\small \left[ {\begin{array}{*{20}{c}} V_{1} \\ V_{2} \end{array}} \right] = \left[ {\begin{array}{*{20}{c}} Z_{11} - \frac{\left({ Z_{11} - Z_{21} }\right) \left({ Z_{11} - Z_{21} }\right)}{Z_{bb}} & Z_{12} - \frac{\left({ Z_{11} - Z_{12} }\right) \left({ Z_{12} - Z_{22} }\right)}{Z_{bb}} \\ Z_{21} - \frac{\left({ Z_{21} - Z_{22} }\right) \left({ Z_{11} - Z_{21} }\right)}{Z_{bb}} & Z_{22} - \frac{\left({ Z_{21} - Z_{22} }\right) \left({ Z_{12} - Z_{22} }\right)}{Z_{bb}} \end{array}} \right] \left[ {\begin{array}{*{20}{c}} I_{1} \\ I_{2} \end{array}} \right]$

Montagem e Modificação da Matriz Impedância de Barra - Montagem direta - Caso 4

$\scriptsize \left[ {\begin{array}{*{20}{c}} V_{1} \\ V_{2} \end{array}} \right] = \left[ {\begin{array}{*{20}{c}} Z_{11} - \frac{\left({ Z_{11} - Z_{21} }\right) \left({ Z_{11} - Z_{21} }\right)}{Z_{bb}} & Z_{12} - \frac{\left({ Z_{11} - Z_{12} }\right) \left({ Z_{12} - Z_{22} }\right)}{Z_{bb}} \\ Z_{21} - \frac{\left({ Z_{21} - Z_{22} }\right) \left({ Z_{11} - Z_{21} }\right)}{Z_{bb}} & Z_{22} - \frac{\left({ Z_{21} - Z_{22} }\right) \left({ Z_{12} - Z_{22} }\right)}{Z_{bb}} \end{array}} \right] \left[ {\begin{array}{*{20}{c}} I_{1} \\ I_{2} \end{array}} \right]$

Regra 4: Inclui-se, temporariamente, nova linha e nova coluna na matriz $\small {Z_{\rm{ORIGINAL}}}$, onde os elementos fora da diagonal principal são iguais à diferença entre os elementos das colunas/linhas $\small k$ e $\small j$ e o elemento da diagonal principal $\small Z_{kk} + Z_{jj} − Z_{kj} − Z_{jk} + z_b$. Elimina-se a linha e a coluna da barra fictícia aplicando a redução de Kron.

Montagem e Modificação da Matriz Impedância de Barra - Montagem direta

Observações:

  • É um processo mais rápido que montar a matriz admitância de barra e depois inverter.

  • Trabalha-se diretamente com a lista dos componentes da rede.

  • A matriz impedância de barra é montada passo a passo, incluindo-se um componente de cada vez, recaindo em um dos quatro casos de modificação da matriz impedância de barra vistos anteriormente.

Montagem e Modificação da Matriz Impedância de Barra - Montagem direta - Exemplo 6.1.1

Montar a matriz impedância de barra passo a passo para o sistema da figura e tabela acima.


Down arrow

Elemento 1 ligado entre a referência e a barra nova 1 (Caso 1).

Elemento 2 ligado entre a referência e a barra nova 3 (Caso 1).

Elemento 3 ligado entre a barra 1 existente e a barra nova 2 (Caso 2).

Rearrumando-se a matriz $\small {Z_{\rm{BARRA}}}$ para que a ordem das colunas corresponda ao número das barras vem:

Elemento 4 ligado entre a barras existentes 2 e 3 (Caso 4).

Após a aplicação da redução de Kron na barra 4 vem:

Elemento 5 ligado entre a barras existentes 2 e 3 (Caso 4).

Aplicando-se a redução de Kron na barra 4 vem:

Elemento 6 ligado entre a barras existentes 1 e 3 (Caso 4).

Aplicando-se a redução de Kron na barra 4 vem:


Up arrow

Análise de Sistemas de Energia Elétrica

Universidade Federal do Espírito Santo

Departamento de Engenharia Elétrica

Prof. Augusto César Rueda Medina / CT-XI, Sala 27 / augusto.rueda@ufes.br